2022년 공무원 봉급 인상률 보수, 임금 예상 2022 공무원 봉급표
2018년 공무원 임금 인상률 은 2.6%, 2019 공무원 급여 인상은 그보다 적었던 1.8%였습니다.
2020 공무원 봉급 인상률 2.8%이었고, 2021 공무원 봉급 인상률은 0.9%로 결정됐습니다.
2021 공무원 보수 실제 발표에서는 제 예상이 틀리고, 소방공무원, 경찰공무원의 급여 수준이 일반직렬 공무원 봉급표와는 차별이 생기기를 바랍니다.

2022년 공무원 봉급 인상률은 대략 1.9% 선으로 가닥이 잡히고 있다.
주말이 지나고 나면 정확한 금액이 발표될 예정이다.

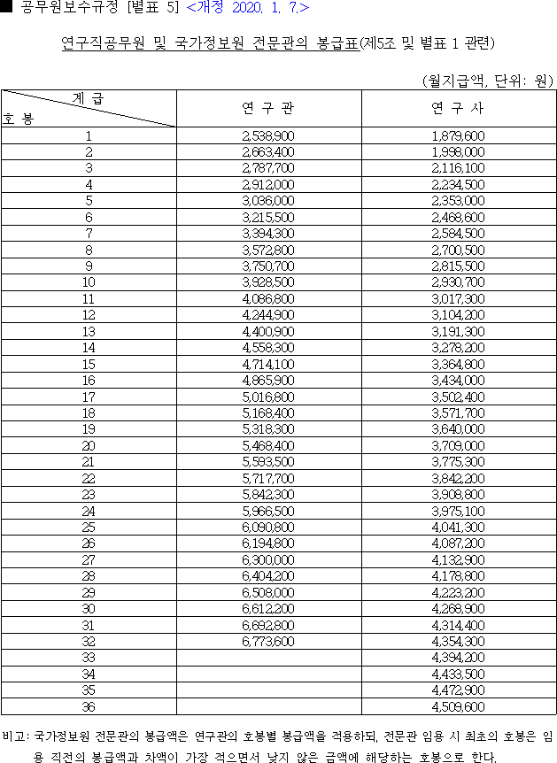
내년 경찰 공무원 월급표 2021 소방공무원 급여

2021년 교육 공무원 호봉표 2021 교원 월급

2020 군인 월급
미래에 닥칠 공무원 연금 고갈 문제나 정권이 바뀔 때마다 손대는 공무원 연금개혁.
국민연금과 공무원연금의 성격과 기여금의 액수가 현저히 다름에도 불구하고 연금이라는 두 글자가 같다는 이유로 똑같이 치부해버리는 언론의 적폐.
공채 비율 축소 및 특채 확대, 일반인에 비해 점점 더 높은 잣대를 들이대는 공직 사회, 관리와 집행이 주를 이루는 공직 사회에 능률성과 성과를 요구하는 사회 분위기!
생산 가능 인구의 감소와 경제규모 축소 등 단순히 안정성과 정년을 바라보고 공무원에 도전하기엔 메리트가 없는 세상이 되었습니다.
특히 맞벌이 아니면 점점 살기 힘든 시대에 신규 공무원끼리 결혼하지 않는 이상 집을 장만하고 가정을 꾸리기가 어렵다고 생각됩니다.

공직 사회의 개혁은 사회에 모범이 될 수 있다는 점에서 그리고 추락한 신뢰도를 회복한다는 점에서 상당히 중요합니다.
언젠가는 공무원 이중배상 금지 및 겸업 금지의 폐지 또한 개혁의 내용에 반드시 포함되어야 한다고 생각합니다.(일본도 공무원들의 겸업을 금지하고 있으나 최근엔 완화하는 추세에 있음)
공무원 연금 고갈 문제는 굉장히 심각한 문제인데 국가가 공무원들의 은퇴 이후 삶을 보장해 줄 여유가 안 된다면 겸업 또한 해제하는 것이 맞지 않나 생각합니다.
공수처 같은 기관을 설치해서 민관의 불법적 유착이나 비리 등을 철저히 감시해야지 시장경제사회에서 그런 것까지 제한하는 것은 현시대 정신으로는 도저히 납득할 수 없는 부분입니다.
날이 갈수록 나라 빚이 늘어나는 상황에서 공무원도 감축할 부분은 감축하되 정말 필요한 곳에 부족한 공무원들이 없는지 면밀하게 살폈으면 좋겠습니다.












Betting Tips and Football Predictions | Vntopbet
답글삭제Betting Tips and Football Predictions. Betting Tips and Football 카지노 Predictions. Betting Tips and Football Predictions. Betting Tips and Football Predictions. Betting bk8 Tips and Football Predictions. Betting 샌즈카지노 Tips and Football Predictions. Betting Tips and Football